會員登入 會員註冊
2016-05-09

網路協助減重不是夢,除了減重還能控制血糖/鄭惠文撰

新食記運動

透過網路系統就可以減重和控制血糖!鄭惠文撰

網路可以買東西、與人聯絡感情,但你聽過藉由網路系統,不只能減重,還能控制血糖嗎!?

2015年美國的一篇論文提到,受試者使用一套網路自動化系統Alive-PD(Prevent Diabetes),六個月後介入組與控制組的血糖與體重變化達到顯著差異!

 

Alive-PD簡介

這是一套為了防治糖尿病發展而設計出的系統,針對糖尿病前期患者提供飲食、運動、衛教相關的建議與資訊。

 

使用者可以從Android或iPhone系統下載Alive-PD,進行個人的運動計畫、每週目標與記錄自己的達成率或體位等等,系統則會以e-mail方式提醒使用者記得設定目標。

 

分組

研究找來339位糖尿病前期合併過重的受試者,使用Alive-PD這套網路系統,這些人被隨機分配介入組(163人)與控制組(176人),在實驗的一開始、第三個月和第六個月測量血液生化值與體位變化。

 

介入方法

個人的運動計劃:系統會根據受試者的基本體位資料,量身定做運動計畫(每週幾次/運動總時數等等),受試者也可以依自己的負荷量調整內容。

每週目標:每週系統會提供針對運動和飲食的階段性目標給受試者。

提醒功能:在週間,系統會提醒受試者選擇下週或當週的目標。

登錄功能:受試者每週可以上網登錄是否有達成目標,同時也可以記錄體重和飲食,系統會自動畫出折線圖。

衛教資訊:每週兩次的衛教主題,教導受試者如何預防糖尿病。

 

結果

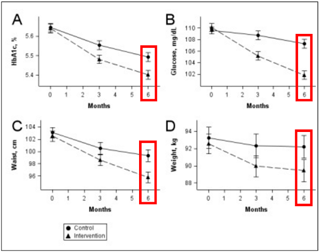
1. 在使用Alive-PD系統六個月後,介入組(虛線)不論是糖化血色素、空腹血糖、腰圍及體重下降的程度都顯著大於控制組(實線)

 

 




 

(原文說明:Changes in primary and secondary endpoints over time. Solid line: control; dashed line: intervention; error bars: ± standard error. A: Change in HbA1c. B: Change in fasting glucose. C: Change in waist circumference. D: Change in weight. At 6 months, all measures were significantly different between control and intervention groups (P<.001).)

 

2.黑色長條圖為介入組,白色長條圖為控制組。(A:體重下降>5%的百分比。B:從糖尿病前期的血糖下降至正常血糖的百分比。C:從有代謝症候群狀況變成沒有代謝症候群狀況的百分比。D:BMI下降至少1 kg/m2的百分比。)

這些數值中,介入組的表現顯著優於控制組

(原文說明:Proportion achieving secondary endpoint thresholds at 6 months. Error bars not shown because all differences between control and intervention were P<.001. A: Percentage with ≥5% weight loss (complete data: n=156 control, n=136 intervention). B: Percentage who moved to normal fasting glucose (from ≥100 mg/dL to <100 mg/dL) (denominator: n=150 control, n=126 intervention). C: Percentage who moved from having metabolic syndrome to not having metabolic syndrome (denominator: n=110 control, n=86 intervention). D: Percentage whose BMI decreased by 1 kg/m2 (denominator: n=156 control, n=136 intervention).)

 

3.除此之外,利用Framingham 8年糖尿病風險量表評估,受試者在一開始罹患糖尿病的風險高達16%,但在六個月後,介入組(虛線)下降至11%,控制組(實線)也降至14.59%。

 

(原文說明:Change in Framingham 8-year diabetes risk.)

 

總結:透過Alive-PD系統的提醒與各種設定功能,加上使用者的配合來改變飲食習慣與增加運動,只要六個月就能有效達到控制血糖與體重的成效!

 

美國有這樣的自動化網站系統,我們當然也不落人後!

最特別的是~我們有真人營養師為大家的飲食與運動把關,

想藉由網路力量減重、減脂、增重、增肌或改善身體狀況嗎?

快來使用新食記運動 http://www.newtriday.com.tw/ 

為自己的健康加分吧~

 

 

參考文獻:Diabetes Prevention and Weight Loss with a Fully Automated Behavioral Intervention by Email, Web, and Mobile Phone: A Randomized Controlled Trial Among Persons with Prediabetes. J Med Internet Res (2015)

˄
TOP